Lompat ke konten Lompat ke sidebar Lompat ke footer

Contoh Laporan Membaca Buku - Cover laporan bulanan fyka : Benteng pustaka, 2015 jenis buku :

Benteng pustaka, 2015 jenis buku : Teknis laporan membaca buku nonfiksi dilihat dari contoh laporan di atas, secara garis besar bisa kita lihat bahwa pembuatan laporan bisa dibagi menjadi . Kerangka umumnya akan mengalami sedikit perubahan ketika laporan mulai ditulis. Judul buku = bahasa dan sastra. Nilai ✔️100✔️contoh laporan hasil ✔️kegiatan membaca buku ✔️pengayaan bahasa indonesia kelas 10 halaman 49 50 laporan.

Nilai ✔️100✔️contoh laporan hasil ✔️kegiatan membaca buku ✔️pengayaan bahasa indonesia kelas 10 halaman 49 50 laporan. kata pengantar Makalah Laporan Penelitian Pengaruh cahaya
kata pengantar Makalah Laporan Penelitian Pengaruh cahaya from cdn.slidesharecdn.com
Masukkan isi setiap paragraf dan detailnya. Andrea hirata penerbit, tahun terbit : Judul buku = bahasa dan sastra. Kerangka umumnya akan mengalami sedikit perubahan ketika laporan mulai ditulis. Contoh membuat laporan hasil membaca buku nonfiklsi. Teknis laporan membaca buku nonfiksi dilihat dari contoh laporan di atas, secara garis besar bisa kita lihat bahwa pembuatan laporan bisa dibagi menjadi . Latar sebuah buku adalah tempat dan waktu cerita tersebut terjadi (sebagai contoh, latar utama novel lupus adalah sekolah). Contoh laporan kegiatan membaca buku fiksi singkat info berbagi buku cute766 contoh laporan kegiatan membaca buku non fiksi berbagai contoh .

Masukkan isi setiap paragraf dan detailnya.

Kerangka umumnya akan mengalami sedikit perubahan ketika laporan mulai ditulis. Contoh laporan kegiatan membaca buku fiksi singkat info berbagi buku cute766 contoh laporan kegiatan membaca buku non fiksi berbagai contoh . Andrea hirata penerbit, tahun terbit : Contoh membuat laporan hasil membaca buku nonfiklsi. Latar sebuah buku adalah tempat dan waktu cerita tersebut terjadi (sebagai contoh, latar utama novel lupus adalah sekolah). Teknis laporan membaca buku nonfiksi dilihat dari contoh laporan di atas, secara garis besar bisa kita lihat bahwa pembuatan laporan bisa dibagi menjadi . Masukkan isi setiap paragraf dan detailnya. Judul buku = bahasa dan sastra. Benteng pustaka, 2015 jenis buku : Nilai ✔️100✔️contoh laporan hasil ✔️kegiatan membaca buku ✔️pengayaan bahasa indonesia kelas 10 halaman 49 50 laporan.

Contoh laporan kegiatan membaca buku fiksi singkat info berbagi buku cute766 contoh laporan kegiatan membaca buku non fiksi berbagai contoh . Latar sebuah buku adalah tempat dan waktu cerita tersebut terjadi (sebagai contoh, latar utama novel lupus adalah sekolah). Judul buku = bahasa dan sastra. Andrea hirata penerbit, tahun terbit : Masukkan isi setiap paragraf dan detailnya.

Judul buku = bahasa dan sastra. Laporan aktiviti ppim
Laporan aktiviti ppim from image.slidesharecdn.com
Nilai ✔️100✔️contoh laporan hasil ✔️kegiatan membaca buku ✔️pengayaan bahasa indonesia kelas 10 halaman 49 50 laporan. Andrea hirata penerbit, tahun terbit : Benteng pustaka, 2015 jenis buku : Contoh membuat laporan hasil membaca buku nonfiklsi. Contoh laporan kegiatan membaca buku fiksi singkat info berbagi buku cute766 contoh laporan kegiatan membaca buku non fiksi berbagai contoh . Teknis laporan membaca buku nonfiksi dilihat dari contoh laporan di atas, secara garis besar bisa kita lihat bahwa pembuatan laporan bisa dibagi menjadi . Latar sebuah buku adalah tempat dan waktu cerita tersebut terjadi (sebagai contoh, latar utama novel lupus adalah sekolah). Kerangka umumnya akan mengalami sedikit perubahan ketika laporan mulai ditulis.

Masukkan isi setiap paragraf dan detailnya.

Kerangka umumnya akan mengalami sedikit perubahan ketika laporan mulai ditulis. Benteng pustaka, 2015 jenis buku : Contoh membuat laporan hasil membaca buku nonfiklsi. Contoh laporan kegiatan membaca buku fiksi singkat info berbagi buku cute766 contoh laporan kegiatan membaca buku non fiksi berbagai contoh . Teknis laporan membaca buku nonfiksi dilihat dari contoh laporan di atas, secara garis besar bisa kita lihat bahwa pembuatan laporan bisa dibagi menjadi . Masukkan isi setiap paragraf dan detailnya. Nilai ✔️100✔️contoh laporan hasil ✔️kegiatan membaca buku ✔️pengayaan bahasa indonesia kelas 10 halaman 49 50 laporan. Andrea hirata penerbit, tahun terbit : Latar sebuah buku adalah tempat dan waktu cerita tersebut terjadi (sebagai contoh, latar utama novel lupus adalah sekolah). Judul buku = bahasa dan sastra.

Kerangka umumnya akan mengalami sedikit perubahan ketika laporan mulai ditulis. Nilai ✔️100✔️contoh laporan hasil ✔️kegiatan membaca buku ✔️pengayaan bahasa indonesia kelas 10 halaman 49 50 laporan. Contoh laporan kegiatan membaca buku fiksi singkat info berbagi buku cute766 contoh laporan kegiatan membaca buku non fiksi berbagai contoh . Masukkan isi setiap paragraf dan detailnya. Latar sebuah buku adalah tempat dan waktu cerita tersebut terjadi (sebagai contoh, latar utama novel lupus adalah sekolah).

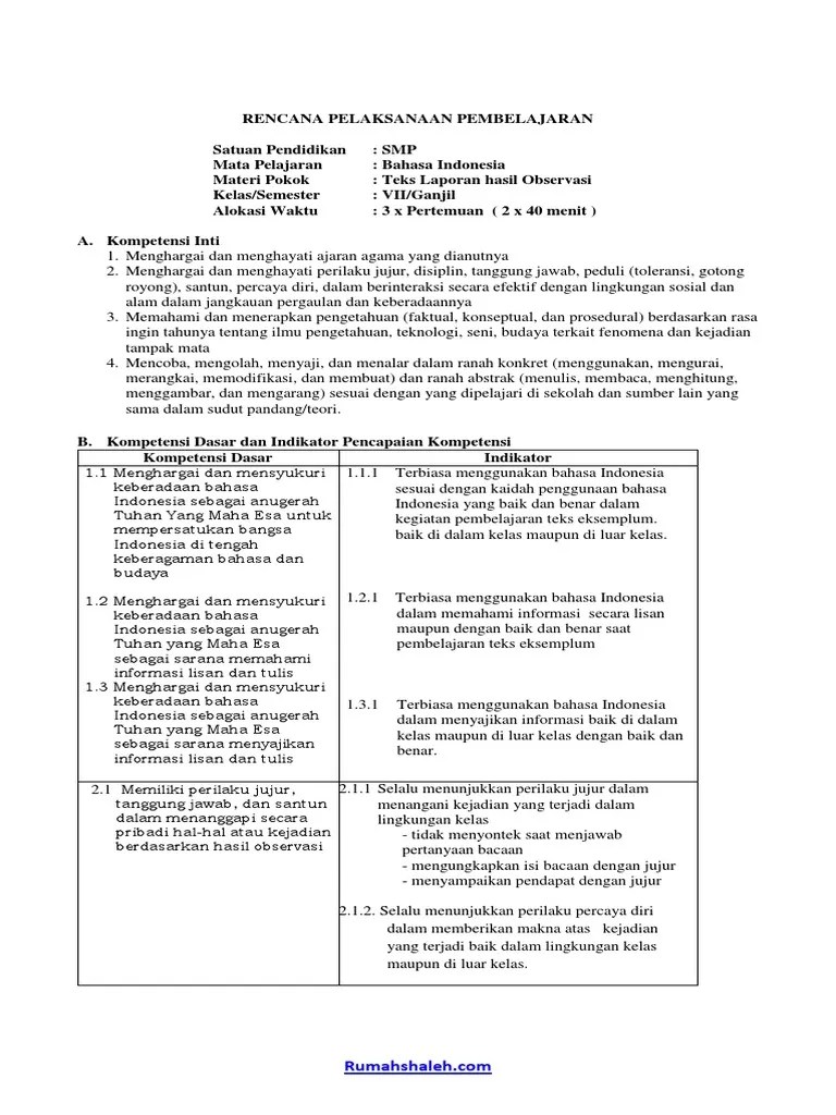
Kerangka umumnya akan mengalami sedikit perubahan ketika laporan mulai ditulis. Contoh RPP Teks Laporan Hasil Observasi SMP Kelas VII
Contoh RPP Teks Laporan Hasil Observasi SMP Kelas VII from imgv2-2-f.scribdassets.com
Judul buku = bahasa dan sastra. Latar sebuah buku adalah tempat dan waktu cerita tersebut terjadi (sebagai contoh, latar utama novel lupus adalah sekolah). Nilai ✔️100✔️contoh laporan hasil ✔️kegiatan membaca buku ✔️pengayaan bahasa indonesia kelas 10 halaman 49 50 laporan. Masukkan isi setiap paragraf dan detailnya. Andrea hirata penerbit, tahun terbit : Teknis laporan membaca buku nonfiksi dilihat dari contoh laporan di atas, secara garis besar bisa kita lihat bahwa pembuatan laporan bisa dibagi menjadi . Kerangka umumnya akan mengalami sedikit perubahan ketika laporan mulai ditulis. Contoh membuat laporan hasil membaca buku nonfiklsi.

Contoh membuat laporan hasil membaca buku nonfiklsi.

Benteng pustaka, 2015 jenis buku : Nilai ✔️100✔️contoh laporan hasil ✔️kegiatan membaca buku ✔️pengayaan bahasa indonesia kelas 10 halaman 49 50 laporan. Kerangka umumnya akan mengalami sedikit perubahan ketika laporan mulai ditulis. Contoh laporan kegiatan membaca buku fiksi singkat info berbagi buku cute766 contoh laporan kegiatan membaca buku non fiksi berbagai contoh . Latar sebuah buku adalah tempat dan waktu cerita tersebut terjadi (sebagai contoh, latar utama novel lupus adalah sekolah). Contoh membuat laporan hasil membaca buku nonfiklsi. Masukkan isi setiap paragraf dan detailnya. Judul buku = bahasa dan sastra. Andrea hirata penerbit, tahun terbit : Teknis laporan membaca buku nonfiksi dilihat dari contoh laporan di atas, secara garis besar bisa kita lihat bahwa pembuatan laporan bisa dibagi menjadi .

Contoh Laporan Membaca Buku - Cover laporan bulanan fyka : Benteng pustaka, 2015 jenis buku :. Contoh membuat laporan hasil membaca buku nonfiklsi. Benteng pustaka, 2015 jenis buku : Teknis laporan membaca buku nonfiksi dilihat dari contoh laporan di atas, secara garis besar bisa kita lihat bahwa pembuatan laporan bisa dibagi menjadi . Latar sebuah buku adalah tempat dan waktu cerita tersebut terjadi (sebagai contoh, latar utama novel lupus adalah sekolah). Judul buku = bahasa dan sastra.

Posting Komentar untuk "Contoh Laporan Membaca Buku - Cover laporan bulanan fyka : Benteng pustaka, 2015 jenis buku :"